活塞式压力计的力值修正-温度与弹性形变的影响
面积修正 – 弹性变形
当压力计的工作压力增加时,活塞/活塞筒会发生弹性变形,使得活塞/圆筒体的有效面积也发生变化,这种面积的改变可以用一个二次多项式来表示:

式中,
Ao——某参考压力下活塞的面积
b1 & b2——弹性变形系数,可通过实验获得
在许多应用中,可以用压力与有效面积的线性关系式和代表校准过程的随意性的余项来表述以上关系;但在需要完整表达线性数据余项时,二次表达式可能更好的反映有效面积随压力的变化规律以及随校准过程的变化规律。
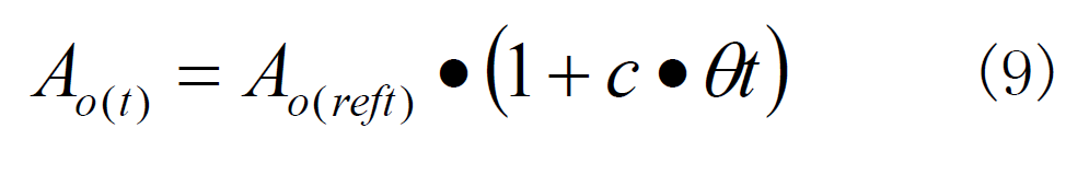
温度系数
当系统温度改变时,活塞/活塞筒的有效面积也将改变,变形量可通过下式计算:

式中,
Ao(t)——工作温度下有效面积的修正
Ao(ref t)——零压力和标准温度下活塞的面积
c——热膨胀系数
θt——标准温度和实际工作温度的差值
结合式(7)、(8)、(9),我们可以得出P-F 关系式:

这里,假设活塞系统的轴线和重力加速度的方向是平行的,因不平行而产生的误差与偏离角度的余弦值成比例。
联系人:office
手 机:0913-8563896 / 15877552632
公 司:亚洲第一综合天堂另类专
地 址:陕西省渭南市大荔县许庄镇党家村4组