常见问答

重力加速度对新款活塞式压力计年检的影响

由于我国地域辽阔,纬度变化很大,以新疆为例从北边的阿勒泰到南边的和田,纬度相差10°。由于地形复杂,海拔高度从几千米到海平面以下100多米,变化也很大,这就造成了我国重力加速度值分布变化也很大。所以重力加速度对新款活塞式压力计年检校准影响就非常大。

我们先了解下年检校准的定义

年检校准的基本要求校准应满足的基本要求如下:

1)环境条件校准如在检定(校准)室进行,则环境条件应满足实验室要求的温度、湿度等规定。校准如在现场进行,则环境条件以能满足仪表现场使用的条件为准。

2)仪器作为校准用的标准仪器其误差限应是被校表误差限的1/3~1/10。

3)人员校准虽不同于检定,但进行校准的人员也应经有效的考核,并取得相应的合格证书,只有持证人员方呆出具校准证书和校准报告,也只有这种证书和报告才认为是有效的。

影响

活塞式压力计具有准确度高、性能稳定、操作简单等优点,在量值传递、精密测量、常规测量方面得到了广泛的推广和使用。

活塞式压力计误差主要来源有两个:一个是活塞有效面积A;另一个是砝码质量m。由于各地重力加速度不同,对活塞式压力计的误差影响很大。在不同地区使用活塞式压力计要注意对砝码的质量按使用地点的重力加速度进行修正。

一、问题的提出

在活塞有效面积检定中,其被检活塞式压力计有效面积计算中,重力加速度在等式两边约去。所以检定有效面积时,重力加速度的准确与否对其没有影响。

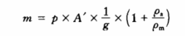
活塞专用砝码质量是根据已经测得的活塞面积,计算压力对应的砝码质量。其计算公式为

活塞式压力计砝码计算公式.png

式中:m--专用砝码质量,kg;

p--被测量压力值,Pa;

A′--被检活塞的有效面积,m2;

ρa--周围空气密度,kg/m3;

ρm-专用砝码、活塞及其连杆材料密度,kg/m3;

g--活塞式压力计使用地点的重力加速度,m/s2

重力加速度是其中一个重要的计算参数,其准确性直接影响活塞质量。

从JJG59-2007《活塞式压力计》检定规程中可知,乌鲁木齐地区的平均重力加速度值为9.8015m/s2,而通过实际测量工作地点的纬度和海拔高度,以重力加速度计算公式进行计算,计算出的重力加速度值与JJG59-2007给出的重力加速度值相差很大。

二、误差计算

为了研究乌鲁木齐地区重力加速度值测定不准引入误差对活塞式压力计标准装置的影响,通过对自治区计量院压力检定室地理位置海拔高度、纬度实际测量的数据进行分析,计算重力加速度值,并探讨同一地区重力加速度测定不准对引入误差数值的影响。

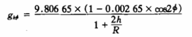
我院压力检定室的纬度是43.989°、海拔高度是730m。通过重力加速度计算公式,得

重力加速度计算公式.png

式中:R--地球半径,等于6371×103m;

h--测量地点的海拔高度;

Φ--测量地点的纬度。

经过计算,我院的重力加速度g=9.8035m/s2,而JJG59-2007中乌鲁木齐的重力加速度为9.8015m/s2,重力加速度误差将引起活塞砝码质量误差达到0.02%,而JJG59-2007中低级别的0.05级活塞砝码质量的大允许误差仅为±0.02%,0.02级和0.005级活塞的砝码质量要求更高。所以,JJG59-2007中给定的重力加速度不能满足高准确度的需求。

重力加速度与海拔高度、纬度有直接的关系,经计算得知在我国所处的区域内,纬度相差1°的两地g值相差(0.0006~0.0009)m/s2。在同一纬度地区海拔每升高30m,g值减小约0.0001m/s2。g值每变化0.000lm/s2,引起活塞质量的误差大约为0.001%。所以为满足实际测量要求的需要,应当给定准确的使用地点的重力加速度值。

三、实际使用中的问题

2008年年初,我院建立了0.005级活塞式压力计标准装置。在建标过程中发现,JJG59-2007中的重力加速度不能满足需要,我们需要至少能准确到小数点后5位的重力加速度数值。而通过纬度和海拔计算得到的重力加速度与JJG59-2007中给定的重力加速度相差较大,在没有可靠计量手段的情况下,不能确定哪个更为准确。

经过查询资料了解到,自治区地震局有重力加速度测量观测站,并且进行了长期的测量,有十分准确的重力加速度数值。在与自治区地震局联系后获得了重力加速度的相对数值。经过与自治区地震局技术人员合作,将相对重力加速度转化为准确的重力加速度值。其值为(9.80097±0.00001)m/s2,这个值的误差引起的砝码质量误差仅为0.0001%,完全能够满足实际需要。

通过数据比较发现,据海拔计算的重力加速度为9.8035m/s2,而JJG59-2007中乌鲁木齐的重力加速度为9.8015m/s2,但实际观测所得到的数据为9.80097m/s2。可见,通过海拔和纬度计算得到的重力加速度值误差较大,无法满足JJG59-2007的要求。

笔者在对各地活塞式压力计检定的过程中发现,重力加速度很容易被忽视。在对克拉玛依油田公司的全自动井下压力计检定装置检定中,发现其压力值始终有较大误差,经过仔细检查,发现其自动控制参数中的重力加速度竟然还是出厂值,与实际使用地的重力加速度误差很大,经过重新设置后误差明显缩小。

此后,在吐哈油田和泽普石油基地的自动压力装置检定中也发现有类似的问题。很多活塞式压力计的使用人员对机器的参数不了解,尤其是重力加速度由于使用地点不一样,其数值变化较大,并且其准确值的获得也比较困难,往往被忽视。

四、建议及总结

由于自治区地域辽阔,纬度变化很大,从北边的阿勒泰到南边的和田,纬度相差10°。由于地形复杂,海拔高度从几千米到海平面以下100多米,变化也很大,这就造成了自治区重力加速度值分布变化也很大。从鄯善到吐鲁番,相距不过80公里,重力加速度就相差0.002m/s2。而吐哈油田井下测试公司的全自动活塞式压力计的使用位置距离鄯善30公里的鄯善火车站,其重力加速度值在现有的资料上难以查询,而通过纬度和海拔计算的值又难以满足实际需要。目前,这些活塞的重力加速度值是凭借已有资料和经验修正得到的,其准确性难以保证。

由于重力加速度在一个固定的地点其值变化量非常小,是非常稳定的。因此,只需在使用活塞的地点进行一次测量,就可以满足以后的使用需要。

因此笔者建议,在进行活塞式压力计建标时,就使用地点的重力加速度、经纬度以及海拔高度进行测量,并备案在装置的档案中。这样能够很好地提高活塞式压力计的使用准确度,提高量传的准确性。

另一方面,由于重力加速度在生产科研中的重要作用,作为自治区级计量单位,应当有一套测量重力加速度的装置对各地重力加速度值进行测量,以满足各个行业对重力加速度值的使用需求

 

 

 


用手机扫描二维码关闭
二维码