今天我们举例讲下力值对活塞精度的影响
计算实例:
下面是气体活塞压力计的一个例子,它的物理参数,包括砝码值,由厂家提供。
示例:
在Ta = 20℃,Pr = 6.9 MPa 时,计算需要施加的砝码质量。
设备:
气体活塞压力计主机:THLL210
活塞系统:THLL210
专用砝码组:THLL210
环境:
gl - 978.72346 cm/sec2
P(ref) - 大气
ρa - 0.00118 gm/cm3
h - 0 cm (无高度差)
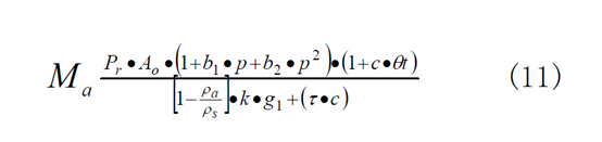
根据式(10)可计算所需的砝码质量Ma(表观值),也可用下式计算:

已知参数分别为:
Ao = 8.39086E-02 cm2 ( 20oC)
b1 = 3.0E-06 m2/MPa
b2 = 0.0
c = 9.1E-06 m2/m2/oC
ρa = 0.00118gm/cm3
k = 1/980.665 cm/sec2
gl = 978.72346 cm/sec2
θt = Ta -20 = 20-20 = 0oC
ρs = 8.0 gm/cm3
Pref = 大气
p = 标称压力
Pr = 6.9 MPa / 9.80665 = 70.3604187kg/cm2
(1 + b1 . p) = (1 + 3E-06 . 70.36) =1.000211081
(1 + c·θt) = 1 + 0.0000091 ٠ 0 = 1
k · gl = 978.72346/980.665 = 0.99802018
(1 - ρa/ρs) = 0.9998525
带入式(11),可计算得到需要的砝码质量为:

即:
Ma= 5.917677488kg
由此,可以得到需要施加的砝码的质量:
Mtare = Ma− total mass (kg) (12)
上式中,tare mass 是活塞及连接件的质量。
M total= 5.917677483 − 0.01178538
= 5.905892103
从砝码组中选取合适的砝码,并利用克组、毫克组砝码进行精确调整,施加需要的砝码质量,具体过程为:
Mtotal= 5.905892103
-0.5000266 1# 砝码
=5.40586550
-1.0000569 2# 砝码
= 4.40580860
-1.0000866 3# 砝码
= 3.40572200
-1.0000839 4# 砝码
= 2.40563810
-1.0000300 5# 砝码
= 1.40560810
-0.9999244 6# 砝码
= 0.40568370
-0.2999771 8# 砝码
= 0.10570660
-0.10000382 10# 砝码
= 0.00570278kg
即 5.703 grams 克、毫克砝码
在活塞上按以上顺序加上砝码,调整活塞系统压力使其处于厂家标记的工作位置(参考平面)后,就可以确认:压力计产生的压力就是计算出的压力值。
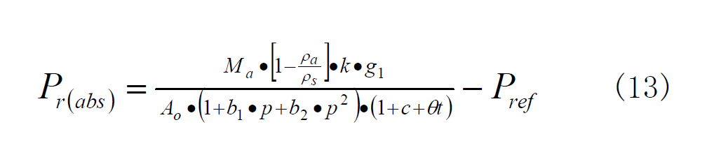
在该示例中,活塞压力计产生的压力与大气压有关,活塞的参考面,包括砝码,都置于当地的大气环境中,工作在表压测量模式;如果参考压力减小到绝对零压,那么活塞产生的压力就是绝对压力。为实现绝压工作模式,通常用一个钟形的玻璃罩将质量块封装在其内,用排量合适的真空泵, 将玻璃罩内的气体抽出。
但将玻璃容器抽成高真空是很难实现的,应测量出内部的残余压力,并列入压力的计算式中。这样得到绝对的压力—力值关系式如下:

上式中不包括表面张力修正项,是因为绝压通常只用气体活塞压力计产生,基本上不用考虑气体介质表面张力的影响。
联系人:office
手 机:0913-8563896 / 15877552632
公 司:亚洲第一综合天堂另类专
地 址:陕西省渭南市大荔县许庄镇党家村4组