3、使用质量级砝码量传压力值
本实验使用的双量程活塞压力计为美国Pressure-ments公司生产的,准确度等级为0.01级,压力范围为(0.1~3.5)/(2~70)MPa,标称面积为0.8cm2/0.04cm2。由于某种原因更换了2~70MPa量程的活塞组件,压力底座、(0.1~3.5)MPa活塞组件及配套砝码未更换。砝码为压力级标识,活塞有效面积发生变化导致砝码压力值并不是整数值。需要寻找一种途径使得可以继续使用整套砝码,而不影响其量传的准确度。运用理论分析,通过公式计算得出砝码对应的压力值,给出整数压力值对应的修正值。
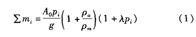
使用带温度修正的起始平衡法对Pressurements生产的量程为(2~70)MPa的活塞式压力计进行检定,测得其参考温度(20℃)下零压有效面积为Ao=0.0403013cm2。由JJG59-2007活塞压力计检定规程计算得到标称砝码对应的名义质量值:

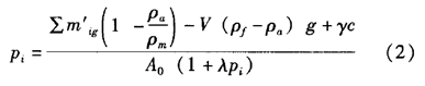
式中:Σmi为砝码、活塞及连接件的质量总和,Ao为零压有效面积,pi为对应的压力值,ρa为大气密度,ρm为砝码密度,λ为压力形变系数。实际砝码质量mi′对应的压力值为:

式中:V为活塞杆浸人液体中的体积,-V(ρf-ρa)g为浮力修正项,γc为表面张力值。在《The Pressure Balance:Theory and Practice》一书中,Dadson等人研究了几种典型结构的活塞组件其液体浮力和高度差修正[4]。活塞组件结构如图2所示。

如图2可见,活塞杆的真实作用面(最低端)处于作用面(x=0)下方H处。设x=0处的压力值为Po,最低端的压力值为p1,则p1=po+(ρf -ρa)gH。又p=W/S,S为活塞有效面积,可得到W。=W1-(ρf -ρa)gSH=W1-V(ρf-ρa)g,再加上表面张力修正,即可得到真实的压力值公式。出厂证书见表1,计算的参数见表2,其中名义质量和实测压力值由公式(1)和(2)得到,浮力修正值来源于pres-surements 活塞出厂证书。

表2中质量均为真空质量,其与折算质量的关系为:

为了验证结果我们采用比对实验,由0.005级量程范围为2~160MPa的DH·Budenberg(DHB)活塞压力计对同一压力模块进行测试,将测得数据和Pressurements活塞进行比对。其比对结果如表3所示,其中表3中的修正值由表2中的实测压力值得到。
采用的参考标准为FLUKE压力模块,量程为0~70MPa,从零点开始每隔10MPa递变做上下行程的测量。表格中的数据为上下行程的平均值,结果按数据修约处理。

比对结果显示,经过Pressurements活塞修正后的压力模块示值与DHB活塞压力计测得的数值相对误差较小,在万分之一以内。由此可以证明,本文采用质量级砝码进行压力值量传是准确可靠的。当专用砝码无调整腔时,或者客户需要砝码准确压力值时,都可以采用本文的方法,经过计算得到砝码对应的压力值。本文找到一种活塞压力计校准的新方法,对现行有效的规程是一个有力的补充,同时可以保证压力值量传的准确可靠。
4、结束语
通过分析比较活塞压力计检定使用的直接平衡法和起始平衡法的适用范围,指出在油介质活塞压力计的检定中使用起始平衡法是合适的。同时通过理论分析和公式推导,得出了一种使用质量级砝码量传压力值的方法。在满足现有规程的条件下,给出砝码对应的压力值而不是质量值,特别适用于无调整腔的砝码。实验证明,这种方法是可行的,可以使压力量传误差控制在允许范围以内。
联系人:office
手 机:0913-8563896 / 15877552632
公 司:亚洲第一综合天堂另类专
地 址:陕西省渭南市大荔县许庄镇党家村4组